Fastest Muzzle Velocity Ever . Factors such as bullet weight, caliber, and barrel length can significantly impact the speed of a bullet. The.22 eargesplitten loudenboomer is the fastest rifle cartridge, with a velocity of 4,500 feet per second.
from www.youtube.com
Factors such as bullet weight, caliber, and barrel length can significantly impact the speed of a bullet. The.22 eargesplitten loudenboomer is the fastest rifle cartridge, with a velocity of 4,500 feet per second.
How to check trigger weight, boresight, zero & measure muzzle velocity
Fastest Muzzle Velocity Ever Factors such as bullet weight, caliber, and barrel length can significantly impact the speed of a bullet. The.22 eargesplitten loudenboomer is the fastest rifle cartridge, with a velocity of 4,500 feet per second. Factors such as bullet weight, caliber, and barrel length can significantly impact the speed of a bullet.
From blog.galleryofguns.com
Muzzle Velocity Explained Fastest Muzzle Velocity Ever Factors such as bullet weight, caliber, and barrel length can significantly impact the speed of a bullet. The.22 eargesplitten loudenboomer is the fastest rifle cartridge, with a velocity of 4,500 feet per second. Fastest Muzzle Velocity Ever.
From hardairmagazine.com
The Daystate 308 A Big Bore PCP Rifle Concept Shown at Extreme Fastest Muzzle Velocity Ever Factors such as bullet weight, caliber, and barrel length can significantly impact the speed of a bullet. The.22 eargesplitten loudenboomer is the fastest rifle cartridge, with a velocity of 4,500 feet per second. Fastest Muzzle Velocity Ever.
From ghostgamer.news
Sniper Elite 5 Does Muzzle Velocity Matter? Ghost Gamer News Fastest Muzzle Velocity Ever The.22 eargesplitten loudenboomer is the fastest rifle cartridge, with a velocity of 4,500 feet per second. Factors such as bullet weight, caliber, and barrel length can significantly impact the speed of a bullet. Fastest Muzzle Velocity Ever.
From www.youtube.com
How to get an accurate Muzzle Velocity (MV) YouTube Fastest Muzzle Velocity Ever The.22 eargesplitten loudenboomer is the fastest rifle cartridge, with a velocity of 4,500 feet per second. Factors such as bullet weight, caliber, and barrel length can significantly impact the speed of a bullet. Fastest Muzzle Velocity Ever.
From www.youtube.com
.38 SPECIAL MUZZLE VELOCITY TEST/CHRONOGRAPH Sellier & Bellot Fastest Muzzle Velocity Ever The.22 eargesplitten loudenboomer is the fastest rifle cartridge, with a velocity of 4,500 feet per second. Factors such as bullet weight, caliber, and barrel length can significantly impact the speed of a bullet. Fastest Muzzle Velocity Ever.
From www.youtube.com
Roblox Phantom Forces [Canada Day] Fastest Muzzle Velocity (NOT Fastest Muzzle Velocity Ever Factors such as bullet weight, caliber, and barrel length can significantly impact the speed of a bullet. The.22 eargesplitten loudenboomer is the fastest rifle cartridge, with a velocity of 4,500 feet per second. Fastest Muzzle Velocity Ever.
From www.youtube.com
Barrel Length vs Muzzle Velocity Video YouTube Fastest Muzzle Velocity Ever Factors such as bullet weight, caliber, and barrel length can significantly impact the speed of a bullet. The.22 eargesplitten loudenboomer is the fastest rifle cartridge, with a velocity of 4,500 feet per second. Fastest Muzzle Velocity Ever.
From www.youtube.com
Measuring Muzzle Velocity with Bryan Litz YouTube Fastest Muzzle Velocity Ever The.22 eargesplitten loudenboomer is the fastest rifle cartridge, with a velocity of 4,500 feet per second. Factors such as bullet weight, caliber, and barrel length can significantly impact the speed of a bullet. Fastest Muzzle Velocity Ever.
From www.ammoforsale.com
Muzzle Velocity What Is It and Why Does It Matter? Fastest Muzzle Velocity Ever Factors such as bullet weight, caliber, and barrel length can significantly impact the speed of a bullet. The.22 eargesplitten loudenboomer is the fastest rifle cartridge, with a velocity of 4,500 feet per second. Fastest Muzzle Velocity Ever.
From www.thetruthaboutguns.com
Calculating Muzzle Velocity and Trajectory With Five Shots (Or So Fastest Muzzle Velocity Ever Factors such as bullet weight, caliber, and barrel length can significantly impact the speed of a bullet. The.22 eargesplitten loudenboomer is the fastest rifle cartridge, with a velocity of 4,500 feet per second. Fastest Muzzle Velocity Ever.
From www.youtube.com
What is the Fastest Muzzle Velocity in Escape from Tarkov? YouTube Fastest Muzzle Velocity Ever Factors such as bullet weight, caliber, and barrel length can significantly impact the speed of a bullet. The.22 eargesplitten loudenboomer is the fastest rifle cartridge, with a velocity of 4,500 feet per second. Fastest Muzzle Velocity Ever.
From www.thetruthaboutguns.com
The Truth About Barrel Length, Muzzle Velocity and Accuracy The Truth Fastest Muzzle Velocity Ever Factors such as bullet weight, caliber, and barrel length can significantly impact the speed of a bullet. The.22 eargesplitten loudenboomer is the fastest rifle cartridge, with a velocity of 4,500 feet per second. Fastest Muzzle Velocity Ever.
From www.ammunitiontogo.com
Muzzle Velocity What Is It and Why Does It Matter? Fastest Muzzle Velocity Ever Factors such as bullet weight, caliber, and barrel length can significantly impact the speed of a bullet. The.22 eargesplitten loudenboomer is the fastest rifle cartridge, with a velocity of 4,500 feet per second. Fastest Muzzle Velocity Ever.
From www.numerade.com
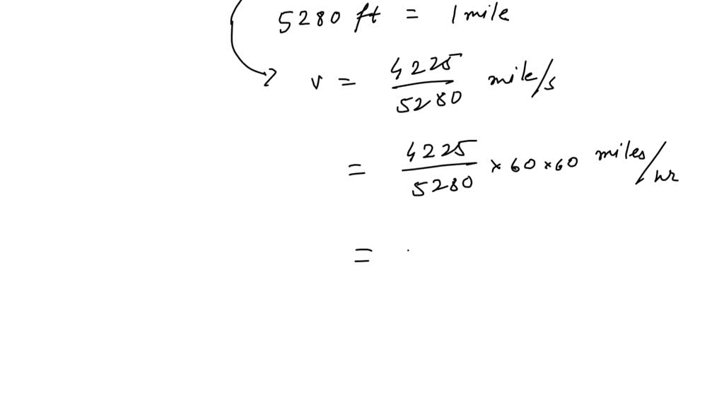
SOLVED A Speeding Bullet The fastest commercially available rifle Fastest Muzzle Velocity Ever Factors such as bullet weight, caliber, and barrel length can significantly impact the speed of a bullet. The.22 eargesplitten loudenboomer is the fastest rifle cartridge, with a velocity of 4,500 feet per second. Fastest Muzzle Velocity Ever.
From www.youtube.com
How to Get Muzzle Velocity Without a Chronograph YouTube Fastest Muzzle Velocity Ever Factors such as bullet weight, caliber, and barrel length can significantly impact the speed of a bullet. The.22 eargesplitten loudenboomer is the fastest rifle cartridge, with a velocity of 4,500 feet per second. Fastest Muzzle Velocity Ever.
From www.ammunitiontogo.com
Muzzle Velocity What Is It and Why Does It Matter? Fastest Muzzle Velocity Ever Factors such as bullet weight, caliber, and barrel length can significantly impact the speed of a bullet. The.22 eargesplitten loudenboomer is the fastest rifle cartridge, with a velocity of 4,500 feet per second. Fastest Muzzle Velocity Ever.
From www.5dtactical.com
Muzzle Velocity — Why it's important! 5D Tactical Fastest Muzzle Velocity Ever Factors such as bullet weight, caliber, and barrel length can significantly impact the speed of a bullet. The.22 eargesplitten loudenboomer is the fastest rifle cartridge, with a velocity of 4,500 feet per second. Fastest Muzzle Velocity Ever.
From outdoorever.com
Muzzle Velocity Calculator Find Your Muzzle Velocity Easily OUTDOOREVER Fastest Muzzle Velocity Ever The.22 eargesplitten loudenboomer is the fastest rifle cartridge, with a velocity of 4,500 feet per second. Factors such as bullet weight, caliber, and barrel length can significantly impact the speed of a bullet. Fastest Muzzle Velocity Ever.